La suite de Fibonacci
La suite de Fibonacci
Ecrit le 11 avr.19, 06:41
Modifié en dernier par prisca le 11 avr.19, 09:07, modifié 1 fois.
Sur le plan humain si tu défends des gens qui salissent le Nom de D.IEU tu te confrontes donc à D.IEU
Re: La suite de Fibonacci
Ecrit le 11 avr.19, 07:02Fibonacci & Pascal à quelques siècles de distance
La somme des diagonales ascendantes du triangle de Pascal forme la suite de Fibonacci
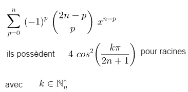
Les polynômes de Pascal sont issus de la n ième diagonale (du triangle de Pascal)
n supérieur ou égal à trois
ils sont de la forme

La somme des diagonales ascendantes du triangle de Pascal forme la suite de Fibonacci
Les polynômes de Pascal sont issus de la n ième diagonale (du triangle de Pascal)
n supérieur ou égal à trois
ils sont de la forme

Cliquer sur les images du lien pour agrandir https://mathsdunordest.blogspot.com/2020/04/
Re: La suite de Fibonacci
Ecrit le 11 avr.19, 07:30Je n'y ai pas accès, de quoi s'agit-il? Est-ce le video dans lequel on parle du dessein intelligent de Dieu?
Jn 3:16 Car Dieu a tant aimé le monde qu'il a donné son Fils unique, afin que quiconque croit en lui ne périsse point, mais qu'il ait la vie éternelle1. »
Re: La suite de Fibonacci
Ecrit le 11 avr.19, 07:36je ne pense pas mais si c'est le cas je me demande comment se fait-il qu'un humain arrive à savoir ce qu'est le dessein de Dieu ?Happy79 a écrit : 11 avr.19, 07:30 Je n'y ai pas accès, de quoi s'agit-il? Est-ce le video dans lequel on parle du dessein intelligent de Dieu?
si moi je serais à la place de Dieu je m'arrangerai pour que personne arrive à savoir ce que je pense et encore moins arrive à savoir quel est mon dessein
La vrai intelligence est celle qui cache la vérité aux imbéciles (car sinon elle serait sans pouvoir face à eux)
et par définition toute intelligence est une idiotie face à celle qui lui est supérieure
Cliquer sur les images du lien pour agrandir https://mathsdunordest.blogspot.com/2020/04/
Re: La suite de Fibonacci
Ecrit le 11 avr.19, 07:49Non en fait, il s'agit d'explication comme quoi la suite de Fibonacci (nombre d'or) se retrouve dans toute la création... comme l'empreinte de Dieu.sibira a écrit : 11 avr.19, 07:36 je ne pense pas mais si c'est le cas je me demande comment se fait-il qu'un humain arrive à savoir ce qu'est le dessein de Dieu ?
https://www.rencontrerdieu.com/project/ ... createur/
Ajouté 1 heure 10 minutes 51 secondes après :
La suite de Fibonacci : suite d'entiers dans laquelle chaque terme est la somme des deux termes qui le précèdent. (ex. 0+1=1.1+1=2. 1+2=3. 2+3=5. 5+3=8. 8+5=13.13+8=21, etc. Ce ratio s,appelle Nombre d'or est de 1,618
Essentiellement, dans une portion de cette vidéo, cela dit que ce ratio se retrouve partout.
Disposition dde la spirale d'un tournesol, celle d'une pomme de pin, des vagues, des étoiles de mers, les spirales des galaxies, les doubles hélices de l'ADN, les proportions humaines idéales.
Le video se termine en mentionnant qu'en 2010 des recherches ont été démontrés dans 2 articles scientifiques de prestige ...
Nature
(no 454 p. 362 et 363 du 18 mars 2010)
Science
(le 7 janvier 2010 sur sciencedaily.com)
... que les chaînes d’atomes sont alignées ensemble pour former une sorte de corde et cela résonne sous forme de fréquence ou de ton. Ce ton possède un ratio de 1,618! Encore le nombre d’or! C’est la première fois qu’une symétrie de n’importe quelle sorte est observé à l’échelle nano et à l’échelle quantique.
Jn 3:16 Car Dieu a tant aimé le monde qu'il a donné son Fils unique, afin que quiconque croit en lui ne périsse point, mais qu'il ait la vie éternelle1. »
Re: La suite de Fibonacci
Ecrit le 11 avr.19, 09:26merci Happy79 pour la documentation
En ce qui me concerne je ne suis pas athée et je ne place pas les mathématiques avant Dieu
Dans ce cadre là je peux dire que je m'en fiche du nombre d'or et de la suite de Fibonacci en tant que support du fait que je crois en Dieu
avoir besoin de se servir du nombre d'or pour montrer que Dieu existe est voué à l'échec ceci dit
car de la même manière que je demanderais au matérialiste qui est athée : c'est quoi la matière ?
Je dirais au religieux qui essaye de me vendre sa religion avec son nombre d'or : c'est quoi un nombre?
tous les deux je les envoient pour lire mon sujet là bas et me placer correctement le nombre et la matière dans le bon "patatoïde" (entre guillemets)
https://forum-religion.org/viewtopic.php?f=16 ... 5#p1293765
En ce qui me concerne je ne suis pas athée et je ne place pas les mathématiques avant Dieu
Dans ce cadre là je peux dire que je m'en fiche du nombre d'or et de la suite de Fibonacci en tant que support du fait que je crois en Dieu
avoir besoin de se servir du nombre d'or pour montrer que Dieu existe est voué à l'échec ceci dit
car de la même manière que je demanderais au matérialiste qui est athée : c'est quoi la matière ?
Je dirais au religieux qui essaye de me vendre sa religion avec son nombre d'or : c'est quoi un nombre?
tous les deux je les envoient pour lire mon sujet là bas et me placer correctement le nombre et la matière dans le bon "patatoïde" (entre guillemets)
https://forum-religion.org/viewtopic.php?f=16 ... 5#p1293765
Cliquer sur les images du lien pour agrandir https://mathsdunordest.blogspot.com/2020/04/
Re: La suite de Fibonacci
Ecrit le 11 avr.19, 09:37Non cela permet surtout de constater combien Dieu est grand dans sa perfection.sibira a écrit : 11 avr.19, 09:26 merci Happy79 pour la documentation
En ce qui me concerne je ne suis pas athée et je ne place pas les mathématiques avant Dieu
Dans ce cadre là je peux dire que je m'en fiche du nombre d'or et de la suite de Fibonacci en tant que support du fait que je crois en Dieu
avoir besoin de se servir du nombre d'or pour montrer que Dieu existe est voué à l'échec ceci dit
car de la même manière que je demanderais au matérialiste qui est athée : c'est quoi la matière ?
Je dirais au religieux qui essaye de me vendre sa religion avec son nombre d'or : c'est quoi un nombre?
tous les deux je les envoient pour lire mon sujet là bas et me placer correctement le nombre et la matière dans le bon "patatoïde" (entre guillemets)
https://forum-religion.org/viewtopic.php?f=16 ... 5#p1293765
Jn 3:16 Car Dieu a tant aimé le monde qu'il a donné son Fils unique, afin que quiconque croit en lui ne périsse point, mais qu'il ait la vie éternelle1. »
Re: La suite de Fibonacci
Ecrit le 11 avr.19, 09:46effectivement (tout comme l'univers est grand et qu'on est ridicule quand on se vante que l'on va sur la lune ou sur Mars)Happy79 a écrit : 11 avr.19, 09:37 Non cela permet surtout de constater combien Dieu est grand dans sa perfection.
Dans sa grande sagesse Dieu nous demande de réfléchir à fond sur les choses profondes avant de commencer à se vanter et il le fait en nous plaçant ces barrières physiques
Cliquer sur les images du lien pour agrandir https://mathsdunordest.blogspot.com/2020/04/
- petitpapatahar
- [ Aucun rang ]
- [ Aucun rang ]
- Messages : 513
- Enregistré le : 04 janv.15, 10:04
Re: La suite de Fibonacci
Ecrit le 11 avr.19, 10:01La logique qui construit notre raison et nous habite existe aussi à l'extérieur de nous l'Univers est logique les lois physiques du monde s'expriment par la mathématique. La mathématique nous entoure elle fait partie de la nature. Maintenant je comprends que découvrir cela nous rends un peu moins seul.
L'intelligence, plus elle explore plus elle rend le monde intelligible, mais c'est en fait parce que le monde est intelligible et par projection, il est aussi intelligible au delà de nos connaissances.
Nous ne pouvons encore que décrire, par exemple, un cristal par des formules mathématiques mais déjà nous révélons d'autres dimensions, d'autres mondes. La rapport de la mathématique à nous même et à l'univers n'est plus à démontrer. Est ce la preuve de l'existence de Dieu ou simplement, comme par nos gènes, la preuve de l'appartenance de nous à l'Univers qui nous entoure.
Il est normal de trouver la mathématique, elle est partout. Un jour dans plusieurs milliers d'années, sûrement bien avant, nous pourrons peut-être décrire mathématiquement une forme de vie.
L'intelligence, plus elle explore plus elle rend le monde intelligible, mais c'est en fait parce que le monde est intelligible et par projection, il est aussi intelligible au delà de nos connaissances.
Nous ne pouvons encore que décrire, par exemple, un cristal par des formules mathématiques mais déjà nous révélons d'autres dimensions, d'autres mondes. La rapport de la mathématique à nous même et à l'univers n'est plus à démontrer. Est ce la preuve de l'existence de Dieu ou simplement, comme par nos gènes, la preuve de l'appartenance de nous à l'Univers qui nous entoure.
Il est normal de trouver la mathématique, elle est partout. Un jour dans plusieurs milliers d'années, sûrement bien avant, nous pourrons peut-être décrire mathématiquement une forme de vie.
Re: La suite de Fibonacci
Ecrit le 11 avr.19, 10:10après on me permettra de douter des mathématiciens qui ne croient pas en Dieu
il en existe certes (ils ne sont pas difficiles à trouver)
mais un logicien qui ne croit pas en l'existence de Dieu sachant qu'un mathématicien est un espèce d'enfant illéttré face à un logicien qui est un vieillard comparé au gamin de mathématicien :
c'est impossible (ou alors il ment et il n'est pas logicien)
il en existe certes (ils ne sont pas difficiles à trouver)
mais un logicien qui ne croit pas en l'existence de Dieu sachant qu'un mathématicien est un espèce d'enfant illéttré face à un logicien qui est un vieillard comparé au gamin de mathématicien :
c'est impossible (ou alors il ment et il n'est pas logicien)
Cliquer sur les images du lien pour agrandir https://mathsdunordest.blogspot.com/2020/04/
Re: La suite de Fibonacci
Ecrit le 11 avr.19, 10:52sibira a écrit : 11 avr.19, 09:46 effectivement (tout comme l'univers est grand et qu'on est ridicule quand on se vante que l'on va sur la lune ou sur Mars)
Dans sa grande sagesse Dieu nous demande de réfléchir à fond sur les choses profondes avant de commencer à se vanter et il le fait en nous plaçant ces barrières physiques
Je suis tellement d'accord avec toi.
Et sur les barrières physiques aussi, parce que les lois causales en fait n'existent pas dans l'absolu, Dieu nous les a données afin que notre cerveau ne nous provoque pas des souffrances à vouloir chercher pour trouver tout ce qui se pose à nous comme problèmes à résoudre.
Je sais que tu as dit "barrières physiques" dans un autre but, celui de nous freiner dans nos élans de volonté de savoir afin que l'on termine un travail que l'on a commencé et que l'on ne se disperse pas, mais aussi pour nous éviter de souffrir comme je le dis juste précédemment.
Je pense que tu es un peu comme cela toi, ta soif de connaitre te fait souffrir, c'est un carcan, ton cerveau en demande toujours davantage.
Demande à Dieu de t'aider à soulager ta trop grande intelligence pour la doser, non pas pour la faire disparaître, mais la doser.
Sur le plan humain si tu défends des gens qui salissent le Nom de D.IEU tu te confrontes donc à D.IEU
Re: La suite de Fibonacci
Ecrit le 11 avr.19, 11:18Je suis un abrutiprisca a écrit : 11 avr.19, 10:52 Demande à Dieu de t'aider à soulager ta trop grande intelligence pour la doser, non pas pour la faire disparaître, mais la doser.
Je préfère plutôt prier pour cette fille dans le lien ci-dessous
mes problèmes à moi qui justifient que je demande de l'aide à Dieu sont vraiment nazes comparés aux siens
écoute bien ce qu'elle dit (là c'est grave , elle dit un truc qu'elle doit vivre et qui est révoltant)
https://www.youtube.com/watch?v=joucXLKXbO8
Cliquer sur les images du lien pour agrandir https://mathsdunordest.blogspot.com/2020/04/
Re: La suite de Fibonacci
Ecrit le 11 avr.19, 11:36Tu es modeste.
Cette femme dans la vidéo dit juste qu'elle fatigue, mais je ne vois pas en quoi elle diffère des autres, tout le monde fatigue.
Mais cette toute jeune fille dans la vidéo que j'insère, et bien, figure toi sibira, que je crois que je suis autiste asperger, je m'y retrouve beaucoup
Cette femme dans la vidéo dit juste qu'elle fatigue, mais je ne vois pas en quoi elle diffère des autres, tout le monde fatigue.
Mais cette toute jeune fille dans la vidéo que j'insère, et bien, figure toi sibira, que je crois que je suis autiste asperger, je m'y retrouve beaucoup
Sur le plan humain si tu défends des gens qui salissent le Nom de D.IEU tu te confrontes donc à D.IEU
Re: La suite de Fibonacci
Ecrit le 11 avr.19, 11:45certes tout le monde fatigue mais bon je l'aime bien elleprisca a écrit : 11 avr.19, 11:36 mais je ne vois pas en quoi elle diffère des autres, tout le monde fatigue.
(et je prierai pour elle au lieu de demander pour moi alors que contrairement à elle, je n'ai pas ses contraintes de relations sociales )
c'est vrai que quand socialement on a moins de contraintes que d'autres on est vraiment chanceux
bonne soirée camarade Prisca (que Dieu te garde)
Cliquer sur les images du lien pour agrandir https://mathsdunordest.blogspot.com/2020/04/
Re: La suite de Fibonacci
Ecrit le 11 avr.19, 20:22Merci sibira bonne nuit aussi.
Juste une chose, je n'ai pas de contrainte sociale non plus, et je culpabilise aussi.
En fait je culpabilise pour tous les gens qui ont des contraintes sociales et cette dame ne diffère pas des autres.
Donc je ne vais pas la plaindre ni prier pour elle, je plaindrais plus la dame thaïlandaise qui est obligée de vendre son corps pour nourrir sa famille ou quelqu'un d'autre, mais pas elle, car elle se lève fatiguée, il y en a qui ne se lèvent même pas et vont travailler puisqu'ils ne se sont même pas couchés.
Mais comme j'ai appris à ne pas culpabiliser car j'ai beaucoup de chance, il y a une balance qui s'est créée, j'ai compris que mes œuvres sont derrière moi, et j'ai droit à une aire de repos, donc pour toi, c'est pareil, et tu as le droit que l'on prie pour toi.
Juste une chose, je n'ai pas de contrainte sociale non plus, et je culpabilise aussi.
En fait je culpabilise pour tous les gens qui ont des contraintes sociales et cette dame ne diffère pas des autres.
Donc je ne vais pas la plaindre ni prier pour elle, je plaindrais plus la dame thaïlandaise qui est obligée de vendre son corps pour nourrir sa famille ou quelqu'un d'autre, mais pas elle, car elle se lève fatiguée, il y en a qui ne se lèvent même pas et vont travailler puisqu'ils ne se sont même pas couchés.
Mais comme j'ai appris à ne pas culpabiliser car j'ai beaucoup de chance, il y a une balance qui s'est créée, j'ai compris que mes œuvres sont derrière moi, et j'ai droit à une aire de repos, donc pour toi, c'est pareil, et tu as le droit que l'on prie pour toi.
Sur le plan humain si tu défends des gens qui salissent le Nom de D.IEU tu te confrontes donc à D.IEU
-
- Sujets similaires
- Réponses
- Vues
- Dernier message
-
- 4 Réponses
- 1042 Vues
-
Dernier message par prisca
-
- 0 Réponses
- 139 Vues
-
Dernier message par Ensembles24
Qui est en ligne
Utilisateurs parcourant ce forum : Amazon [Bot] et 3 invités